Reduce speed, save lives etc etc
Discussion
Looks like they have not learnt from the 20mph limits in Wales then. My area is having a raft of new, lower, speed limits rolled out.
https://www.bbc.co.uk/news/articles/cx2dx99xerro
Spending the money on repairing the potholes might stop accident from people swerving to avoid them.
On a related note of money well spent, I was on the Fosse Way at the weekend and I see Warwickshire council have decided to put up a load of patronising red and white RURAL ROAD signs, because what we need are more distracting signs. They vary from stating 'Slow Down To Make It Home' to 'Slow Down, accidents commonly happen at junctions' (conveniently placed just before a junction, thus causing an accident whilst being read) and 'This is a RURAL Road'. Again, couldn't they spend this money on road maintenance, thus making the road safer?
https://www.bbc.co.uk/news/articles/cx2dx99xerro
Spending the money on repairing the potholes might stop accident from people swerving to avoid them.
On a related note of money well spent, I was on the Fosse Way at the weekend and I see Warwickshire council have decided to put up a load of patronising red and white RURAL ROAD signs, because what we need are more distracting signs. They vary from stating 'Slow Down To Make It Home' to 'Slow Down, accidents commonly happen at junctions' (conveniently placed just before a junction, thus causing an accident whilst being read) and 'This is a RURAL Road'. Again, couldn't they spend this money on road maintenance, thus making the road safer?
Edited by Sixpackpert on Tuesday 17th March 16:25
I'm curious: Does anyone have an idea what number of deaths is acceptable on the roads?
Given the first death by automobile was at something like 4mph, at what point do we stop lowering limits for the purpose of safety?
I understand there are calculations for monetary value of a life, are there caclulations where number of deaths on roads per year = some extra actions to kick in?
Given the first death by automobile was at something like 4mph, at what point do we stop lowering limits for the purpose of safety?
I understand there are calculations for monetary value of a life, are there caclulations where number of deaths on roads per year = some extra actions to kick in?
Gnits said:
I'm curious: Does anyone have an idea what number of deaths is acceptable on the roads?
Given the first death by automobile was at something like 4mph, at what point do we stop lowering limits for the purpose of safety?
I understand there are calculations for monetary value of a life, are there caclulations where number of deaths on roads per year = some extra actions to kick in?
None are acceptable. They can’t have a target that isn’t zero.Given the first death by automobile was at something like 4mph, at what point do we stop lowering limits for the purpose of safety?
I understand there are calculations for monetary value of a life, are there caclulations where number of deaths on roads per year = some extra actions to kick in?
normalbloke said:
Gnits said:
I'm curious: Does anyone have an idea what number of deaths is acceptable on the roads?
Given the first death by automobile was at something like 4mph, at what point do we stop lowering limits for the purpose of safety?
I understand there are calculations for monetary value of a life, are there caclulations where number of deaths on roads per year = some extra actions to kick in?
None are acceptable. They can t have a target that isn t zero.Given the first death by automobile was at something like 4mph, at what point do we stop lowering limits for the purpose of safety?
I understand there are calculations for monetary value of a life, are there caclulations where number of deaths on roads per year = some extra actions to kick in?
Gnits said:
I'm curious: Does anyone have an idea what number of deaths is acceptable on the roads?
Given the first death by automobile was at something like 4mph, at what point do we stop lowering limits for the purpose of safety?
I understand there are calculations for monetary value of a life, are there caclulations where number of deaths on roads per year = some extra actions to kick in?
The limits are not the issue, enforcing them is the issue. Given the first death by automobile was at something like 4mph, at what point do we stop lowering limits for the purpose of safety?
I understand there are calculations for monetary value of a life, are there caclulations where number of deaths on roads per year = some extra actions to kick in?
Someone died near us, 30 limit, managed to roll the car into a tree.
Interestingly, our village parish council in south oxfordshire has now done two surveys of residents re imposing a 20 limit. An overwhelming majority were happy with the 30, yet the county council seem hell-bent on imposing a 20 at vast expense. At the same time, the pavement is so badly surfaced and narrow that pedestrians tend to walk on the road, yet there's no money to fix that.
I wonder how many road users have been killed or seriously injured as a result of failing road surfaces and potholes.
I wonder how many road users have been killed or seriously injured as a result of failing road surfaces and potholes.
It would help this debate if there was more honesty about causes of accidents. Excess speed is a minor cause of accidents and simply breaking a speed limit a practically non existent one. Not paying attention in one form another, whether as driver cyclist or pedestrian is the main cause.
The point is that excess speed makes the consequences worse when some other inattentive idiot causes the accident. If more emphasis was put on this it would be a good start.
Then distractions could be given their due weight as actual causes. And habitual speeders who think they are safe because paying attention might understand why not going too fast is a good idea!
The point is that excess speed makes the consequences worse when some other inattentive idiot causes the accident. If more emphasis was put on this it would be a good start.
Then distractions could be given their due weight as actual causes. And habitual speeders who think they are safe because paying attention might understand why not going too fast is a good idea!
If you make as much money as the government from road safety there will always be a no deaths target, and that is virtually impossible to achieve. Hence it is endlessly funded as it is now.
The emphasis now has moved onto emissions and penalising you for driving your car anywhere near bloody people in cities, the car is a soft, easy target because basically the government dont want you in them, and can therefore justify any penalty they throw at you, it is a mild blackmail.
The emphasis now has moved onto emissions and penalising you for driving your car anywhere near bloody people in cities, the car is a soft, easy target because basically the government dont want you in them, and can therefore justify any penalty they throw at you, it is a mild blackmail.
It amazes me every day the speed that some of the school-run mums do when driving into and through the car park at drop off. Of all the places to go steady it’s a car park where young children are darting out all over the place - and yet they still can’t manage that, even though they have skin in the game.
As ever, speeding isn’t an issue as such, it’s speeding inappropriately, although perhaps modern levels of NVH just mean some people are totally detached from the act of driving. I’d say most of the worst driving I see is through distraction.
As ever, speeding isn’t an issue as such, it’s speeding inappropriately, although perhaps modern levels of NVH just mean some people are totally detached from the act of driving. I’d say most of the worst driving I see is through distraction.
Crumpet said:
It amazes me every day the speed that some of the school-run mums do when driving into and through the car park at drop off. Of all the places to go steady it s a car park where young children are darting out all over the place - and yet they still can t manage that, even though they have skin in the game.
As ever, speeding isn t an issue as such, it s speeding inappropriately, although perhaps modern levels of NVH just mean some people are totally detached from the act of driving. I d say most of the worst driving I see is through distraction.
The headmaster at my daughter’s school had to warn parents and threaten with banning from school premises after a number of incidents of aggressive driving, horn blowing and dangerous overtaking in the drop off area. As ever, speeding isn t an issue as such, it s speeding inappropriately, although perhaps modern levels of NVH just mean some people are totally detached from the act of driving. I d say most of the worst driving I see is through distraction.
Living in South Oxfordshire most villages and market towns have 20mph limits now, I actually don't have a problem with that in small villages where the streets are narrow and pavements are small or non-existent, but wide roads where visibility is good and plenty of room for pedestrians and cyclists with 20mph limits just results in drivers ignoring the limit and that carries through to the areas where it is more appropriate. As others have said, it's inappropriate speed that is a factor in road fatalities, driving at 60 down a busy single carriageway high street on a Saturday lunchtime is not appropriate and that sort of driving deserves to be called out and punished, however driving at 60 on a straight country road where traffic volume is low is acceptable and legal. Same speed different circumstances, speed isn't the issue, it's poor driving, poor decision making in how you drive or lack of attention.
GetCarter said:
Rubbish drivers cause most deaths:
"Driver error is the primary cause of the vast majority of road deaths in the UK, with studies showing it is a factor in approximately 67% to 90% of all road collisions.
'Tis why most hate the word 'accident' as it almost never is.
When I learnt to talk, many years ago now, an accident was something that wasn't done on purpose. It wasn't anything to do with lack of care or negligence. "Driver error is the primary cause of the vast majority of road deaths in the UK, with studies showing it is a factor in approximately 67% to 90% of all road collisions.
'Tis why most hate the word 'accident' as it almost never is.
I still think if a knock over a glass of wine, it's an accident. The fact that it was caused by my own carelessness doesn't change that.
No amount of fancy explanations will convince me that if I were to run up the back of someone, I haven't had an accident. Of course I have. I had and accident because I wasn't paying attention.
normalbloke said:
Gnits said:
I'm curious: Does anyone have an idea what number of deaths is acceptable on the roads?
Given the first death by automobile was at something like 4mph, at what point do we stop lowering limits for the purpose of safety?
I understand there are calculations for monetary value of a life, are there caclulations where number of deaths on roads per year = some extra actions to kick in?
None are acceptable. They can t have a target that isn t zero.Given the first death by automobile was at something like 4mph, at what point do we stop lowering limits for the purpose of safety?
I understand there are calculations for monetary value of a life, are there caclulations where number of deaths on roads per year = some extra actions to kick in?
"Since 1979, there has been a general downward trend in the number of people killed on roads in Great Britain with a flatter trend in the decade since 2010. In 2024, road casualties showed a slight decline from 2023"
Another interesting stat:
"2024, 76% of fatalities and 61% of casualties of all severities were male"
Re £'s spent, from AI:
"The UK government has invested £185.8 million in the Safer Roads Fund, which aims to prevent over 2,600 fatal and serious injuries over a 20-year period. Additionally, a recent report suggests a potential £2.5 billion investment could prevent more than 17,000 deaths and serious injuries in the same timeframe."
TX.
davek_964 said:
Debaser said:
A friend s wife worked in safety on the rail network. They had a target that wasn t zero.
Interesting. I wonder if my mum took comfort in the fact that my dads death was within the allowed mortality target.A zero "target" looks good on paper. However, is it actually, in real life, achievable? I don't think so.
To get to zero you would have to eliminate ALL factors that result in incidents. Mechanical, road condition, weather influence, driver standards. Pick on the largest contributor and target that with some extra picking of simple, easy to do additions.
Speed alone is a contributary factor when other causes are the problem.
I recently drove on the A465 Heads of valleys in fog. Far too many vehicles with no lights on, assuming DRL is front AND back but no rears lit! One appeared to have lights on auto setting as they came on under bridges but went off when back in fog only. Drivers not knowing how the systems work and assuming the car does it all. Very few using rear fogs too. Speeds were down though so some sense shown.
Do a check on your DRL's..... front and back or just front? It amazes me that they are not both as standard. Mine are front only so sidelights put on as a habit.
To get to zero you would have to eliminate ALL factors that result in incidents. Mechanical, road condition, weather influence, driver standards. Pick on the largest contributor and target that with some extra picking of simple, easy to do additions.
Speed alone is a contributary factor when other causes are the problem.
I recently drove on the A465 Heads of valleys in fog. Far too many vehicles with no lights on, assuming DRL is front AND back but no rears lit! One appeared to have lights on auto setting as they came on under bridges but went off when back in fog only. Drivers not knowing how the systems work and assuming the car does it all. Very few using rear fogs too. Speeds were down though so some sense shown.
Do a check on your DRL's..... front and back or just front? It amazes me that they are not both as standard. Mine are front only so sidelights put on as a habit.
rotarygoth said:
... I actually don't have a problem with that in small villages where the streets are narrow and pavements are small or non-existent, but wide roads where visibility is good and plenty of room for pedestrians and cyclists with 20mph limits just results in drivers ignoring the limit and that carries through to the areas where it is more appropriate.
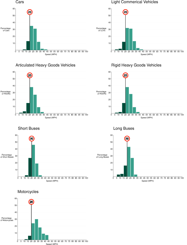
20mph limits are widely ignored. 84% of cars in this DfT survey:TwigtheWonderkid said:
GetCarter said:
Rubbish drivers cause most deaths:
"Driver error is the primary cause of the vast majority of road deaths in the UK, with studies showing it is a factor in approximately 67% to 90% of all road collisions.
'Tis why most hate the word 'accident' as it almost never is.
When I learnt to talk, many years ago now, an accident was something that wasn't done on purpose. It wasn't anything to do with lack of care or negligence. "Driver error is the primary cause of the vast majority of road deaths in the UK, with studies showing it is a factor in approximately 67% to 90% of all road collisions.
'Tis why most hate the word 'accident' as it almost never is.
I still think if a knock over a glass of wine, it's an accident. The fact that it was caused by my own carelessness doesn't change that.
No amount of fancy explanations will convince me that if I were to run up the back of someone, I haven't had an accident. Of course I have. I had and accident because I wasn't paying attention.
It takes away the inference that it was no one's fault, or someone or something else's fault, when most incidents could be avoided and it's useful to acknowledge this.
Crumpet said:
It amazes me every day the speed that some of the school-run mums do when driving into and through the car park at drop off. Of all the places to go steady it s a car park where young children are darting out all over the place - and yet they still can t manage that, even though they have skin in the game.
As ever, speeding isn t an issue as such, it s speeding inappropriately, although perhaps modern levels of NVH just mean some people are totally detached from the act of driving. I d say most of the worst driving I see is through distraction.
Oh my god parents in car parks or busy areas like schools are the worst for speeding inappropriately. It’s horrific. Football parents are the worst followed by school run parents. Boils my piss. As ever, speeding isn t an issue as such, it s speeding inappropriately, although perhaps modern levels of NVH just mean some people are totally detached from the act of driving. I d say most of the worst driving I see is through distraction.
Forums | Speed, Plod & the Law | Top of Page | What's New | My Stuff


